Thủ tướng giao chỉ tiêu hoàn thành nhà ở xã hội cho các địa phương
![]() |
| Thủ tướng Chính phủ giao chỉ tiêu nhà ở xã hội các địa phương phải hoàn thành giai đoạn 2025 - 2030 là 995.445 căn hộ. |
Phát triển nhà ở xã hội, nhà ở công nhân có giá phù hợp
Ngày 3/4/2023, Thủ tướng Chính phủ đã ban hành Quyết định 338/QĐ-TTg phê duyệt Đề án "Đầu tư xây dựng ít nhất 1 triệu căn hộ nhà ở xã hội cho đối tượng thu nhập thấp, công nhân khu công nghiệp giai đoạn 2021 - 2030".
Đề án đặt mục tiêu phát triển nhà ở xã hội, nhà ở công nhân có giá phù hợp với khả năng chi trả của hộ gia đình có thu nhập trung bình, thu nhập thấp khu vực đô thị và của công nhân, người lao động trong khu công nghiệp, khu chế xuất.
Nhà nước khuyến khích các thành phần kinh tế phát triển nhà ở để tạo điều kiện cho mọi người có chỗ ở theo cơ chế thị trường, đáp ứng mọi nhu cầu của người dân, đồng thời có chính sách để hỗ trợ về nhà ở cho các đối tượng chính sách xã hội, người có thu nhập thấp và người nghèo gặp khó khăn về nhà ở nhằm góp phần ổn định chính trị, bảo đảm an sinh xã hội và phát triển đô thị, nông thôn theo hướng văn minh, hiện đại.
Đề án phấn đấu đến năm 2030, tổng số căn hộ các địa phương hoàn thành khoảng 1.062.200 căn.
Tại Quyết định số 444/QĐ-TTg ngày 27/2/2025, Thủ tướng Chính phủ giao chỉ tiêu số căn hộ các địa phương phải hoàn thành giai đoạn 2025 - 2030 là 995.445 căn hộ.
Trong đó năm 2025 là 100.275 căn hộ, năm 2026 là 116.347 căn hộ, năm 2027 là 148.343 căn hộ, năm 2028 là 172.402 căn hộ; năm 2029 là 186.917 căn hộ và năm 2030 là 271.161 căn hộ.
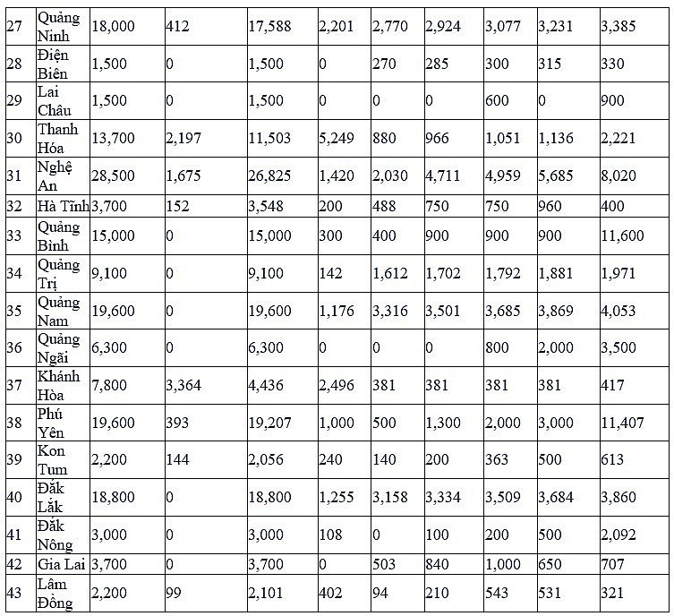
Chỉ tiêu cụ thể về phát triển nhà ở xã hội đối với từng địa phương như sau:
![]() |
![]() |
![]() |
![]() |
![]() |
Dành cho bạn
Đọc thêm
Cụ bà 101 tuổi và niềm tin vào lá phiếu của cử tri
Quảng Ninh rộn ràng ngày bầu cử, cử tri toàn tỉnh nô nức thực hiện quyền công dân
Các địa phương sẵn sàng cho ngày bầu cử
Tuổi trẻ Bộ Tài chính tham quan Nhà Quốc hội, hướng tới kỳ bầu cử Quốc hội khóa XVI
Tăng cường kiểm tra kinh doanh xăng dầu
Đăng ký cuộc thi Auditing and Accounting Challenge - khai phá lõi giá trị, thử thách tư duy nghề nghiệp








